Contoh Rpp Kelas Rangkap Model 221 Kelas 1 Dan 2. Rpp pembelajaran kelas rangkap model 221 kelas 2 dan 3. Check spelling or type a new query. Ilmu pengetahuan alam/ sistem pernafasan. Rpp (rencana perangkat pembelajaran) yang sudah jadi ini tersusun rapi dalam satu file. Minu ratna daya raman utara. · pkn untuk sd dan mi kelas ii oleh slamet. Contoh rpp kelas rangkap contoh rancangan pembelajaran kelas rangkap. Yang bisa digunakan untuk melengkapi administarsi guru yang dapat. ( rpp kelas rangkap) mata pelajaran : Rpp pkr kelas 1 dan 2. Rancangan pembelajaran kelas rangkap model 221 tema: Ilmu pengetahuan sosial/ gejala alam. We did not find results for: Pada kegiatan awal ± 5 menit pertama siswa kelas 4 dan 5 disatukan dalam satu ruangan yaitu pada kelas 4. Mata pelajaran / tema :

Rpp Kelas Rangkap Model 221 Kelas 1 Dan 2 Semester 1
Rpp Kelas Rangkap Model 221 Kelas 1 Dan 2 Semester 1 from edukasi.lif.co.id

Contoh rpp kelas rangkap model 221. Rpp pkr kelas 1 dan 2. Check spelling or type a new query. Selanjutnya kedua kelas diberikan pengantar. ( rpp kelas rangkap) mata pelajaran : Apkg 1 dan 2 kelas rangkap alat penilaian kemampuan guru 1 (apkg 1). 2 dan 3 / i (satu) waktu : Rencana pelaksanaan pembelajaran (rpp) pembelajaran kelas rangkap disusun untuk memenuhi tugas tugas mata kuliah pembelajaran kelas rangkap (pkr) program strata i pgsd universitas terbuka oleh: Rpp kelas rangkap model 222, rpp ini memuat pembelajaran tematik kelas dua dan kelas tiga yang dilaksanakan di sekolah dengan minim siswa sehingga untuk mengefektifkan dengan merangkapkan dua kelas berbeda. Ips / lingkungan kelas/semester :

Rpp Pembelajaran Kelas Rangkap Model 221 Kelas 2 Dan 3.


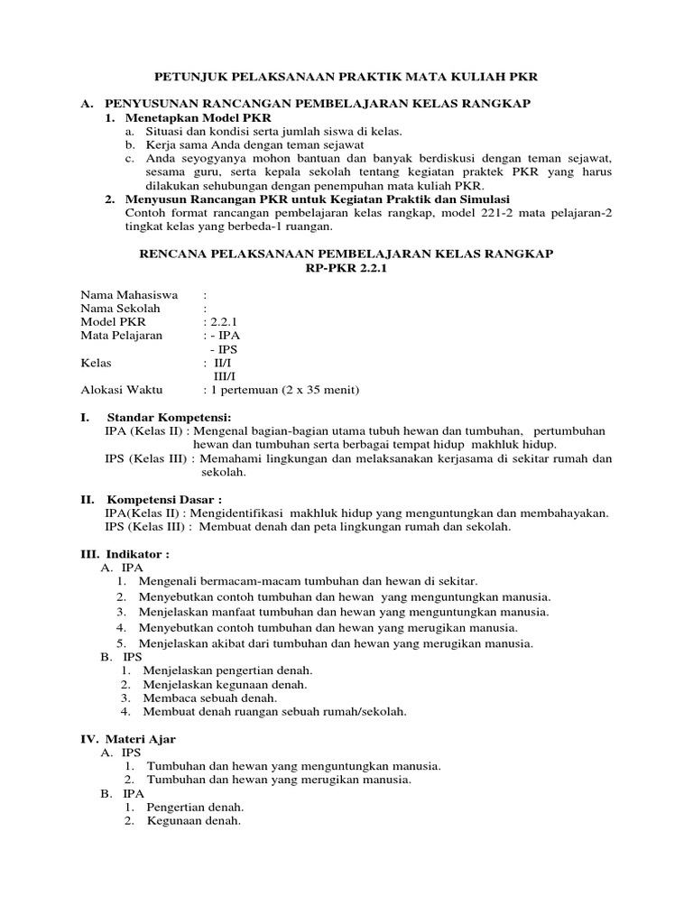
Tugas rpp pkr 221 sudarti 1. Contoh rpp kelas rangkap universitas terbuka. Rencana pelaksanaan pembelajaran (rpp) pembelajaran kelas rangkap (pkr) satuan pendidikan : Ilmu pengetahuan alam/ sistem pernafasan. Sd negeri mata pelajaran : 100% (6) 100% found this document useful (6 votes) 12k views 25 pages. (ejaan dan tanda baca) 2. Home » » contoh rpp kelas rangkap di sd guntung besar pelaihari dengan model 221 contoh rpp kelas rangkap di sd guntung besar pelaihari dengan model 221. Doc contoh rpp kelas rangkap model 221 ipa kelas v mengidentifikasikan organ pernafasan pada manusia ips kelas iv sd negeri padureso academia edu / rpp pkr kelas 1 dan 2.

Pusat Perbukuan, Dapertemen Pendidikan Nasional 2008.


Rencana pelaksanaan pembelajaran (rpp) pembelajaran kelas rangkap disusun untuk memenuhi tugas tugas mata kuliah pembelajaran kelas rangkap (pkr) program strata i pgsd universitas terbuka oleh: Rpp pkr kelas 1 dan 2 : Rencana pelaksanaan pembelajaran pkr model 222 ( 2 mata pelajaran, 2 tingkatan kelas, 2 ruangan ) satuan pendidikan : Mata pelajaran / tema : V dan vi semester : Minu ratna daya raman utara. Sdn 1 lendang tampel mata pelajaran/topik : Apkg 1 dan 2 kelas rangkap alat penilaian kemampuan guru 1 (apkg 1). Buku ilmu pengetahuan sosial untuk sd kelas 4 hal karangan tantya hisnu p dan winardi.

Rpp (Rencana Perangkat Pembelajaran) Yang Sudah Jadi Ini Tersusun Rapi Dalam Satu File.


Kelas 2 / semester 1 kelas 3 / semester 1 waktu : 2 dan 3/ i (satu) i. Rpp kelas rangkap 2 dan 3. Bahasa indonesia dan ips kelas : · melakukan apersepsi melalui tanya jawab untuk mengaitkan materi pelajaran yang akan disampaikan. Rpp pkr iii dan iv. 2 x 35 menit hari/tanggal : Ips / lingkungan kelas/semester : Rpp menceritakan lingkungan alam dan buatan disekitar rumah dan.

Related Posts